Зарплата в нефтяной отрасли, исследование SPE
Общество инженеров-нефтяников (The Society of Petroleum Engineers) ежегодно проводит исследование годовых зарплат в нефтяной отрасли. Данная статья основана на отчете общества инженеров-нефтяников по исследованию уровней зарплат в нефтяной отрасли в 2010 году.
Исследование проводится посредством рассылки членам общества опросных листов. В 2010 году в исследовании приняли участие 10524 человека. Предел погрешности результатов исследования составляет ±1% при 95% уровне достоверности.
Члены SPE, принявшие участие в опросе, являются гражданами 111 стран. При этом компании, на которые они работают, расположены в 100 странах. Таким образом, исследование, проведенное Обществом инженеров-нефтяников, представляет собой срез зарплат в международном масштабе.
Общие положения и выводы
Все данные представлены в долларах США. Данные, представленные участниками опроса в валютах своих стран, были переведены в доллары США, используя обменный курс на 1 августа 2010 года.
Общая тенденция, выявленная в исследовании 2010 года состоит в том, что уровень зарплат в нефтяной отрасли остается стабильным. Увеличение зарплат в 2010 году составило 5,1% по отношению к 2009 году. В исследовании, проведенном в 2009 году, рост составлял 6,6%.
Самая высокая оплата труда в нефтяной отрасли в Соединенных Штатах (199,248 тыс. долл. в год), а самая низкая, к сожалению, в Европе (136,749 тыс. долл. в год). Утешает только одно: раз у нас она самая низкая, значит есть потенциал к росту. Хотя с другой стороны и показатель роста зарплаты у нефтяников в Европе один из самых низких.
Основная зарплата и дополнительные компенсации по регионам:
Примечание к диаграмме: если вы сложили оклад и доплату, указанные на диаграмме, и у вас не получилась зарплата в целом (цифра на самом верху столбцов), то это не оттого, что представленные данные не верны. Дело в том, что все представленные на диаграмме цифры – это средние значения, полученные из общей базы данных. Складывать эти цифры нельзя, нужно пользоваться всей базой данных.
Почти треть респондентов (29,6% если быть точным) имели возможность пользоваться служебным транспортом в 2010 году. В 2009 году такой возможностью пользовались 34,8%.
Средний возраст участников опроса составил 43,3 года, что выше возраста участников опроса 2009 года (38 лет).
| Основная зарплата | Доплаты | Оплата труда в целом | Средний возраст | Опыт работы | Степень выше бакалавра | |
|---|---|---|---|---|---|---|
| США |
150,503 | 53,431 | 199,248 | 46 | 21 | 30,3% |
| Африка |
144,929 | 41,404 | 174,910 | 39 | 13 | 53,8% |
| Австралия, Новая Зеландия | 166,924 | 29,838 | 187,318 | 40 | 15 | 34,5% |
| Канада |
128,331 | 40,154 | 164,901 | 41 | 16 | 21,9% |
| Ближний Восток |
133,608 | 40,760 | 161,559 | 42 | 17 | 41,9% |
| Северное море, Атлантика | 135,002 | 35,031 | 164,652 | 43 | 17 | 67,2% |
| Северная, Центр. Азия | 114,886 | 43,818 | 153,796 | 39 | 16 | 81,9% |
| Ю.Амер., Карибы, Мексика | 108,297 | 37,431 | 139,953 | 41 | 16 | 56,0% |
| Ю., Цент., Восточная Европа | 110,280 | 39,415 | 136,749 | 43 | 18 | 86,6% |
| Юго-Восточная Азия | 98,906 | 80,576 | 166,449 | 39 | 14 | 43,1% |
| В целом |
139,194 | 48,669 | 173,335 | 43 | 19 | 38,1% |
Опыт работы и регион работы - являются определяющими факторами в уровне зарплат нефтяников. Средний опыт работы в нефтяной отрасли в 2010 году составил 19 лет. При этом в США средний опыт работы составил 21 год (самый продолжительный среди остальных стран).
Исследование показало, что по уровню образования 38,1% респондентов имеют степень выше бакалавра. В целом нефтяники достаточно образованные люди. Самый высокий показатель по уровню образования в регионе «Южная, Центральная и Восточная Европа». Здесь степень выше бакалавра имеют 86,6% работников нефтяной отрасли.
Зарплата по категориям должностей
В целом по миру оплата труда работников нефтяной отрасли варьируется в широких пределах. Варьируется не только основная оплата (оклад), но также серьезно различаются и другие виды компенсаций (бонусы, комиссионные, опционы и др.). В значительной степени различия проявляются при разбивке зарплат по категориям должностей.
| Executive,Top Management | Manager / Director | Professional | Supervisor | Technician / Specialist | |
|---|---|---|---|---|---|
| США |
339,764 | 241,316 | 194,859 | 163,253 | 120,356 |
| Африка |
377,428 | 220,878 | 160,885 | 122,232 | 94,041 |
| Австралия, Новая Зеландия | 284,373 | 262,212 | 224,665 | 141,444 | 116,878 |
| Канада |
251,923 | 227,641 | 194,144 | 154,582 | 123,376 |
| Ближний Восток |
365,604 | 216,786 | 143,378 | 132,674 | 90,182 |
| Северное море, Атлантика | 334,196 | 253,033 | 197,075 | 150,392 | 123,546 |
| Северная, Центр. Азия | 266,677 | 218,439 | 157,927 | 108,146 | 37,529 |
| Юж. Амер., Карибы, Мексика | 550,030 | 210,689 | 125,884 | 99,700 | 71,697 |
| Юж., Цент., Восточная Европа | 273,299 | 192,295 | 149,166 | 131,572 | 66,898 |
| Юго-Восточная Азия | 216,404 | 193,184 | 129,042 | 85,460 | 60,535 |
Значительное увеличение оплаты труда нефтяников в 2010 году произошло на уровне исполнительных директоров и топ-менеджеров нефтяных компаний в Африке и в регионе, включающем Южную Америку, Карибы и Мексику.
Самое незначительное увеличение оплаты труда отмечается у технических и других специалистов, работающих в нефтедобывающих регионах «Северное море, Северная Атлантика» и «Северная, Центральная Азия».
Зарплата по функциональным обязанностям / профессиям
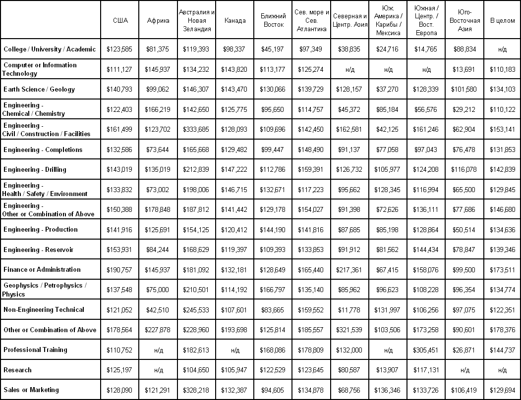
Здесь рассматривается только основная зарплата (оклад).
Категория «финансы и управление», которая в последние годы лидировала, переместилась на второе место после категории «другая или междисциплинарная». При этом разрыв между этими категориями в целом небольшой 178,376 тыс. долл. и 173,511 тыс. долл. соответственно. В США «финансы и управление» остается самой высокооплачиваемой категорией (190,757).
В регионе «Южная, Центральная и Восточная Европа», к которому относится и Россия наиболее оплачиваемой категорией является «проф. подготовка (Professional Training)». Основная зарплата в этой категории составила 305,451 тыс. долл. в год. Невольно закрадывается подозрение, что здесь что-то не так (возможно недостаточно репрезентативные данные). В этой категории наблюдается наибольший разброс данных по регионам: от 305,451 тыс. долл. в год в Европе до 26,871 тыс. долл. в год в Юго-Восточной Азии.
Также как «проф. подготовка», категория «исследования» в Азии является наименее оплачиваемой (13,907 тыс. долл. в год, что составляет менее 20% от средней зарплаты в этой категории в других регионах). Вероятно, это из-за недостаточного количества представленных анкет в этой категории (всего 2) по этому региону.
Среди инженерных специальностей химики - самая низкооплачиваемая. Зарплата в этой профессии варьируется от 166,219 тыс. долл. в год в Африке до 29,212 тыс. долл. в год в Юго-Восточной Азии. Химия является самой низкооплачиваемой среди инженерных специальностей в Северной и Центральной Азии (45,372); Южной, Центральной и Восточной Европе (56,576) и Юго-Восточной Азии (29,212).
Основная зарплата по функциональным обязанностям, $ тыс./год:
Опыт работы и зарплата
Во всех регионах опыт работы остается основным фактором, определяющим уровень зарплаты работников нефтяной отрасли. Как показывает исследование, мужчины на всех уровнях имеют более продолжительный опыт работы и при этом также более высокий уровень оплаты труда.
Опыт работы, как определяющий фактор в уровне зарплаты, хорошо иллюстрируют Соединенные Штаты. В США самый высокий средний уровень зарплат (199248 долл. в год) и при этом самый продолжительный опыт работы работников нефтяной отрасли (21 год).
| Executive,Top Management | Manager / Director | Professional | Supervisor | Technician / Specialist | |
|---|---|---|---|---|---|
| Мужчины | |||||
| Опыт работы, лет | 27,9 | 24,3 | 15,8 | 20,2 | 14,9 |
| Основная оплата (оклад) | 219,821 | 169,457 | 123,119 | 143,786 | 102,667 |
| Доплаты | 141,826 | 65,233 | 32,837 | 38,502 | 18,581 |
| Оплата труда в целом | 359,396 | 234,631 | 155,612 | 182,299 | 120,829 |
| Женщины | |||||
| Опыт работы, лет | 21,8 | 19,7 | 9,3 | 15,6 | 11,7 |
| Основная оплата (оклад) | 174,880 | 151,417 | 97,351 | 125,319 | 69,864 |
| Доплаты | 65,120 | 53,639 | 71,937 | 29,845 | 12,477 |
| Оплата труда в целом | 240,000 | 202,874 | 168,731 | 155,164 | 81,287 |
Источник: The Society of Petroleum Engineers / Annual Membership Salary Survey
Читайте также:
Куда пойти учиться? Какую профессию выбрать?
Карьерные возможности в нефтяной отрасли
10 лучших университетов по подготовке нефтяников
